ФотобусАвтобусный транспорт

Информация об изображении

325 КБ


Идентификатор изображения:1168644
Размер файла:325 КБ
Автор:Олег
Опубликовано:23.07.2014 07:11 MSK
Находится на сайте, дней:4095
Уникальных просмотров:271
Комментариев:0

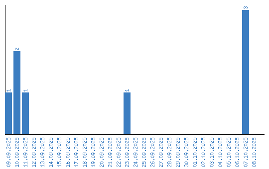
Динамика просмотров по датам