ФотобусАвтобусный транспорт

Информация об изображении

295 КБ


Идентификатор изображения:1157112
Размер файла:295 КБ
Автор:роман88
Опубликовано:07.07.2014 20:09 MSK
Находится на сайте, дней:4128
Уникальных просмотров:418
Комментариев:0

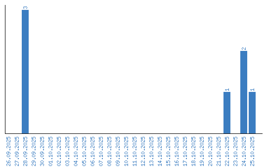
Динамика просмотров по датам