ФотобусАвтобусный транспорт

Информация об изображении

311 КБ


Идентификатор изображения:1137187
Размер файла:311 КБ
Автор:LAEN
Опубликовано:03.06.2014 22:25 MSK
Находится на сайте, дней:4154
Уникальных просмотров:403
Комментариев:0

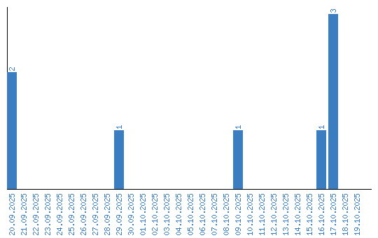
Динамика просмотров по датам