ФотобусАвтобусный транспорт

Информация об изображении

337 КБ


Идентификатор изображения:1123648
Размер файла:337 КБ
Автор:Dissident
Опубликовано:14.05.2014 13:50 MSK
Находится на сайте, дней:4172
Уникальных просмотров:351
Комментариев:9

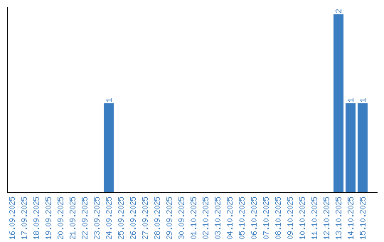
Динамика просмотров по датам