ФотобусАвтобусный транспорт

Информация об изображении

168 КБ


Идентификатор изображения:1098497
Размер файла:168 КБ
Автор:ikarusbus
Опубликовано:12.04.2014 11:22 MSK
Находится на сайте, дней:4222
Уникальных просмотров:714
Комментариев:0

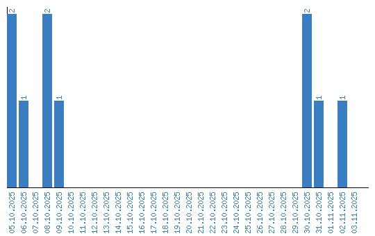
Динамика просмотров по датам