ФотобусАвтобусный транспорт

Информация об изображении

344 КБ


Идентификатор изображения:1075829
Размер файла:344 КБ
Автор:Илья С.
Опубликовано:09.03.2014 20:35 MSK
Находится на сайте, дней:4232
Уникальных просмотров:539
Комментариев:2

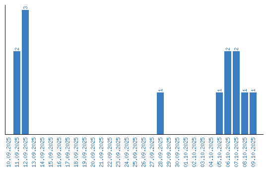
Динамика просмотров по датам