ФотобусАвтобусный транспорт

Информация об изображении

342 КБ


Идентификатор изображения:1074807
Размер файла:342 КБ
Автор:dielektrik
Опубликовано:08.03.2014 18:39 MSK
Находится на сайте, дней:4242
Уникальных просмотров:452
Комментариев:0

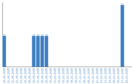
Динамика просмотров по датам