ФотобусАвтобусный транспорт

Информация об изображении

161 КБ


Идентификатор изображения:1048399
Размер файла:161 КБ
Автор:shishkov3
Опубликовано:19.01.2014 01:57 MSK
Находится на сайте, дней:4303
Уникальных просмотров:222
Комментариев:0

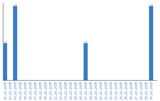
Динамика просмотров по датам