ФотобусАвтобусный транспорт

Информация об изображении

106 КБ


Идентификатор изображения:102343
Размер файла:106 КБ
Автор:Бараш Алексей
Опубликовано:01.05.2009 23:53 MSK
Находится на сайте, дней:6021
Уникальных просмотров:1271
Комментариев:6

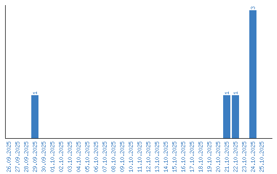
Динамика просмотров по датам