ФотобусАвтобусный транспорт

Информация об изображении

317 КБ


Идентификатор изображения:1022474
Размер файла:317 КБ
Автор:Cедой
Опубликовано:30.11.2013 16:32 MSK
Находится на сайте, дней:4362
Уникальных просмотров:329
Комментариев:0

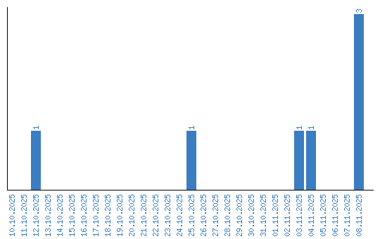
Динамика просмотров по датам