ФотобусАвтобусный транспорт

Информация об изображении

284 КБ


Идентификатор изображения:1013877
Размер файла:284 КБ
Автор:ПапаРомский
Опубликовано:11.11.2013 23:25 MSK
Находится на сайте, дней:4387
Уникальных просмотров:166
Комментариев:0

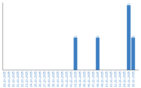
Динамика просмотров по датам