ФотобусАвтобусный транспорт

Информация об изображении

344 КБ


Идентификатор изображения:1002688
Размер файла:344 КБ
Автор:Альтерна 4216
Опубликовано:24.10.2013 15:20 MSK
Находится на сайте, дней:4400
Уникальных просмотров:575
Комментариев:0

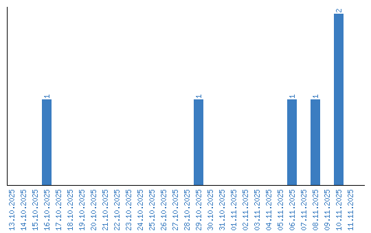
Динамика просмотров по датам