ФотобусАвтобусный транспорт

Информация об изображении

285 КБ


Идентификатор изображения:972669
Размер файла:285 КБ
Автор:ВАЗ-2112
Опубликовано:19.09.2013 20:25 MSK
Находится на сайте, дней:4562
Уникальных просмотров:308
Комментариев:1

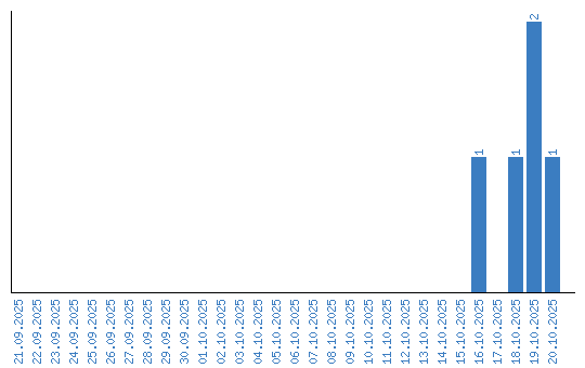
Динамика просмотров по датам