FotobusΜεταφορά με λεωφορείο

Picture Statistics

142 KB


Picture ID:95598
File Size:142 KB
Συγγραφέας:vetal-76
Publication Date:16.04.2009 21:26 MSK
Days in Database:6054
Unique views:551
Comments:2

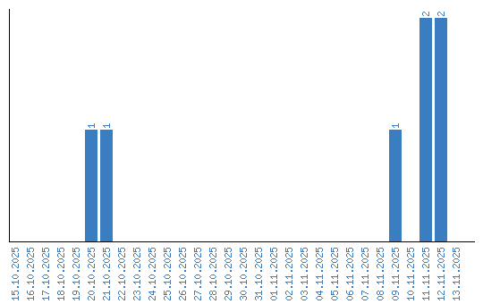
Viewing statistics by date