FotobusBusverkehr

Bildinformationen

334 KB


Foto-ID:927298
Dateigröße:334 KB
Aufgenommen von:Oleja-kid
Veröffentlicht am:19.07.2013 13:44 MSK
Tage seit Veröffentlichung:4603
Aufrufe:314
Kommentare:0

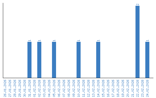
Aufrufestatistik (Tage)