ФотабусАўтобусны транспарт

Iнфармацыя аб малюнку

336 КБ


Ідэнтыфікатар малюнка:926103
Памер файла:336 КБ
Аўтар:MedveD
Апублікавана:17.07.2013 11:43 MSK
Знаходзіцца на сайце, дзён:4504
Унікальных праглядаў:188
Каментарыяў:0

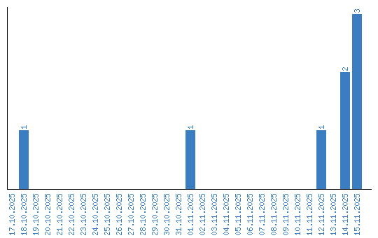
Дынаміка праглядаў па датах