ФотобусАвтобусний транспорт

Статистика по зображенню

287 КБ


Ідентифікатор зображення:905025
Розмір файлу:287 КБ
Автор:Хвалынский Евгений
Опубліковано:15.06.2013 23:42 MSK
Знаходиться на сайті, днів:4534
Унікальних переглядів:368
Коментарів:0

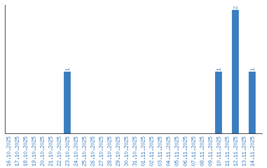
Динаміка переглядів за датами