FotobusΜεταφορά με λεωφορείο

Picture Statistics

341 KB


Picture ID:827462
File Size:341 KB
Συγγραφέας:Pavel Trofimoff
Publication Date:11.02.2013 14:29 MSK
Days in Database:4659
Unique views:559
Comments:2

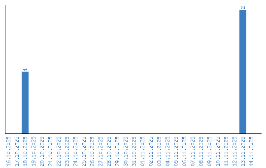
Viewing statistics by date