FotobusΜεταφορά με λεωφορείο

Picture Statistics

348 KB


Picture ID:696281
File Size:348 KB
Συγγραφέας:DM
Publication Date:07.07.2012 22:17 MSK
Days in Database:5057
Unique views:339
Comments:0

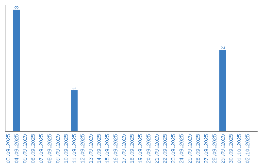
Viewing statistics by date