FotobusAutobusų transportas

Nuotraukos informacija

294 KB


Nuotraukos identifikatorius:666298
Bylos dydis:294 KB
Autorius:Anry KB
Publikuota:20.05.2012 22:08 MSK
Yra tinklapyje dienų:5015
Unikalių peržiūrų:248
Komentarų:0

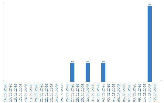
Peržiūrų dinamika pagal dienas