FotobusAutobusų transportas

Nuotraukos informacija

235 KB


Nuotraukos identifikatorius:57257
Bylos dydis:235 KB
Autorius:Коновалов Артём
Publikuota:25.11.2008 21:28 MSK
Yra tinklapyje dienų:6197
Unikalių peržiūrų:422
Komentarų:2

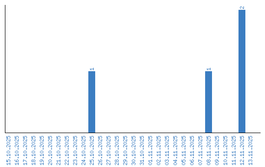
Peržiūrų dinamika pagal dienas