FotobusBusverkehr

Bildinformationen

237 KB


Foto-ID:525196
Dateigröße:237 KB
Aufgenommen von:Azat Ahtyamov
Veröffentlicht am:13.09.2011 10:43 MSK
Tage seit Veröffentlichung:5184
Aufrufe:262
Kommentare:0

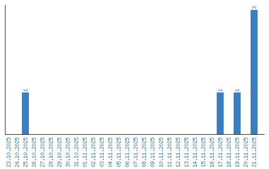
Aufrufestatistik (Tage)