FotobusAutobusų transportas

Nuotraukos informacija

240 KB


Nuotraukos identifikatorius:358891
Bylos dydis:240 KB
Autorius:Man in Black
Publikuota:09.11.2010 21:17 MSK
Yra tinklapyje dienų:5518
Unikalių peržiūrų:556
Komentarų:0

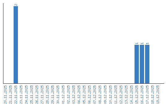
Peržiūrų dinamika pagal dienas