FotobusAutobusų transportas

Nuotraukos informacija

460 KB


Nuotraukos identifikatorius:3543660
Bylos dydis:460 KB
Autorius:Maksimus
Publikuota:09.04.2025 11:29 MSK
Yra tinklapyje dienų:363
Unikalių peržiūrų:213
Komentarų:0

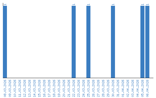
Peržiūrų dinamika pagal dienas