FotobusBusverkehr

Bildinformationen

504 KB


Foto-ID:3535250
Dateigröße:504 KB
Aufgenommen von:ALX
Veröffentlicht am:28.03.2025 19:11 MSK
Tage seit Veröffentlichung:222
Aufrufe:155
Kommentare:0

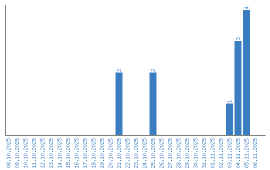
Aufrufestatistik (Tage)