ФотобусАвтобустар галереясы

Информация об изображении

659 КБ


Идентификатор изображения:3472972
Размер файла:659 КБ
Автор:Bogdan Smykov
Опубликовано:01.01.2025 01:28 MSK
Находится на сайте, дней:406
Уникальных просмотров:365
Комментариев:0

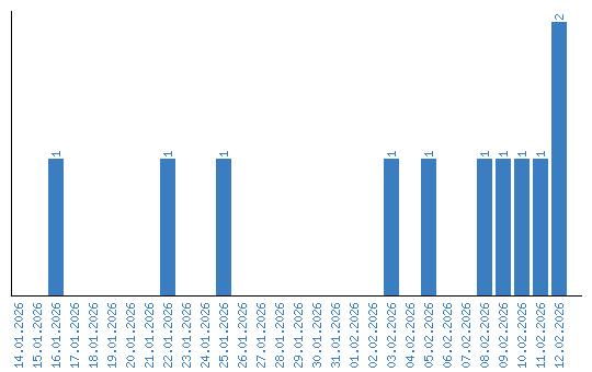
Динамика просмотров по датам