ФотабусАўтобусны транспарт

Iнфармацыя аб малюнку

4680 КБ


Ідэнтыфікатар малюнка:3442390
Памер файла:4680 КБ
Аўтар:А.М.
Апублікавана:13.11.2024 22:51 MSK
Знаходзіцца на сайце, дзён:446
Унікальных праглядаў:293
Каментарыяў:0

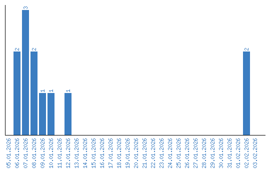
Дынаміка праглядаў па датах