ФотобусАвтобустар галереясы

Информация об изображении

658 КБ


Идентификатор изображения:3384437
Размер файла:658 КБ
Автор:Г. Фропткинг
Опубликовано:30.08.2024 10:08 MSK
Находится на сайте, дней:401
Уникальных просмотров:168
Комментариев:0

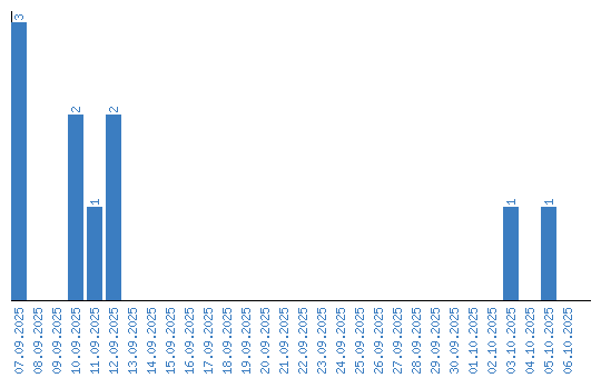
Динамика просмотров по датам