ФотобусАвтобусный транспорт

Информация об изображении

613 КБ


Идентификатор изображения:3373943
Размер файла:613 КБ
Автор:sanek_tapok
Опубликовано:16.08.2024 14:00 MSK
Находится на сайте, дней:575
Уникальных просмотров:332
Комментариев:0

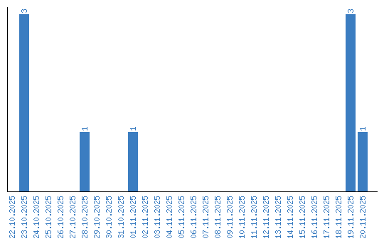
Динамика просмотров по датам