FotobusΜεταφορά με λεωφορείο

Picture Statistics

216 KB


Picture ID:330370
File Size:216 KB
Συγγραφέας:ALX
Publication Date:16.09.2010 11:41 MSK
Days in Database:5537
Unique views:215
Comments:0

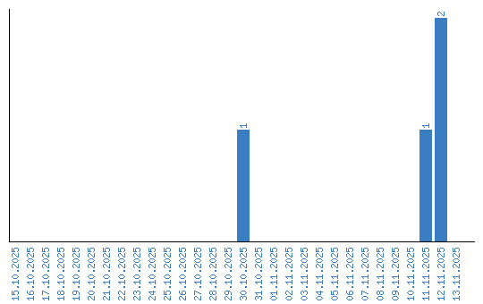
Viewing statistics by date