ФотобусАвтобусный транспорт

Информация об изображении

693 КБ


Идентификатор изображения:3286958
Размер файла:693 КБ
Автор:kz10
Опубликовано:28.04.2024 18:03 MSK
Находится на сайте, дней:705
Уникальных просмотров:365
Комментариев:0

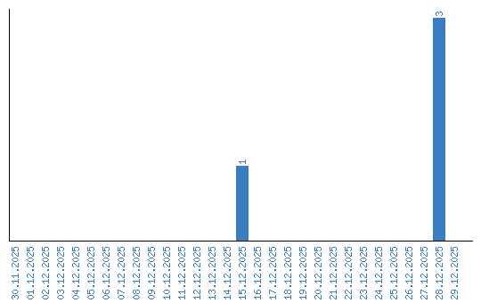
Динамика просмотров по датам