FotobusΜεταφορά με λεωφορείο

Picture Statistics

658 KB


Picture ID:3245743
File Size:658 KB
Συγγραφέας:A.N.S.
Publication Date:23.02.2024 15:18 MSK
Days in Database:636
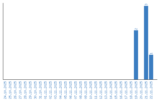
Unique views:237
Comments:0

Viewing statistics by date