ФотобусАвтобусный транспорт

Информация об изображении

667 КБ


Идентификатор изображения:3216425
Размер файла:667 КБ
Автор:tertiodecimo
Опубликовано:12.01.2024 11:36 MSK
Находится на сайте, дней:783
Уникальных просмотров:275
Комментариев:0

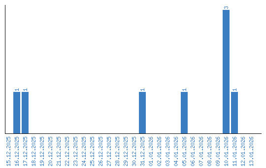
Динамика просмотров по датам