ФотобусАвтобусный транспорт

Информация об изображении

361 КБ


Идентификатор изображения:3202649
Размер файла:361 КБ
Автор:dielektrik
Опубликовано:18.12.2023 15:55 MSK
Находится на сайте, дней:823
Уникальных просмотров:189
Комментариев:0

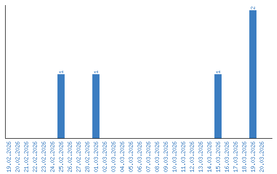
Динамика просмотров по датам