FotobusTransport autobusowy

Informacja o zdjęciu

686 kB


Identyfikator zdjęcia:3177100
Rozmiar pliku:686 kB
Autor:Aртур
Opublikowano:31.10.2023 21:32 MSK
Znajduje się na stronę, dni:755
Odsłon:137
Komentarzy:0

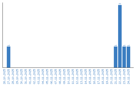
Liczba oglądających wg dat