FotobusΜεταφορά με λεωφορείο

Picture Statistics

656 KB


Picture ID:3155164
File Size:656 KB
Συγγραφέας:Gas lee
Publication Date:28.09.2023 12:06 MSK
Days in Database:777
Unique views:272
Comments:0

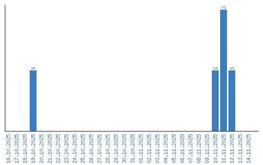
Viewing statistics by date