ФотобусАвтобусный транспорт

Информация об изображении

564 КБ


Идентификатор изображения:3112421
Размер файла:564 КБ
Автор:Игорь 7666
Опубликовано:02.08.2023 21:44 MSK
Находится на сайте, дней:956
Уникальных просмотров:152
Комментариев:0

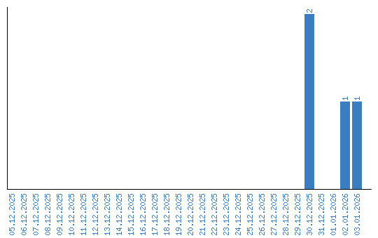
Динамика просмотров по датам