ФотабусАўтобусны транспарт

Iнфармацыя аб малюнку

686 КБ


Ідэнтыфікатар малюнка:3094841
Памер файла:686 КБ
Аўтар:Pölsk1
Апублікавана:07.07.2023 00:33 MSK
Знаходзіцца на сайце, дзён:857
Унікальных праглядаў:240
Каментарыяў:0

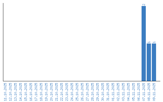
Дынаміка праглядаў па датах