ФотобусАвтобусный транспорт

Информация об изображении

231 КБ


Идентификатор изображения:305253
Размер файла:231 КБ
Автор:Eugene
Опубликовано:31.07.2010 19:15 MSK
Находится на сайте, дней:5701
Уникальных просмотров:445
Комментариев:0

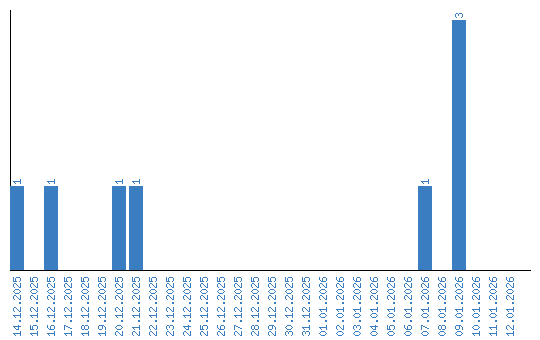
Динамика просмотров по датам