ФотобусАвтобусный транспорт

Информация об изображении

436 КБ


Идентификатор изображения:3020525
Размер файла:436 КБ
Автор:beffan
Опубликовано:05.03.2023 22:24 MSK
Находится на сайте, дней:1044
Уникальных просмотров:436
Комментариев:0

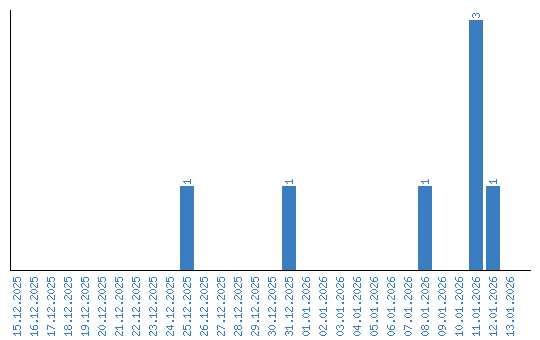
Динамика просмотров по датам