ФотобусАвтобусный транспорт

Информация об изображении

600 КБ


Идентификатор изображения:2996556
Размер файла:600 КБ
Автор:Клауд
Опубликовано:13.01.2023 19:26 MSK
Находится на сайте, дней:1069
Уникальных просмотров:559
Комментариев:0

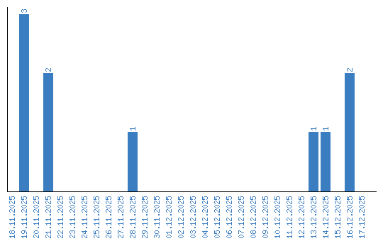
Динамика просмотров по датам