FotobusAutobusa transports

Informācija par attēli

333 KB


Attēla identifikātors:2909639
Faila lielums:333 KB
Autors:straightcelle
Ir publicēts:24.07.2022 01:44 MSK
Atrodas vietnē, dienās:1325
Unikāli skatījumi:269
Komentārus:0

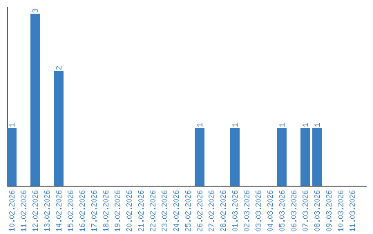
Dinamika skatišana pēc datuma