ФотобусАвтобусный транспорт

Информация об изображении

120 КБ


Идентификатор изображения:2908448
Размер файла:120 КБ
Автор:beffan
Опубликовано:21.07.2022 22:37 MSK
Находится на сайте, дней:1332
Уникальных просмотров:228
Комментариев:0

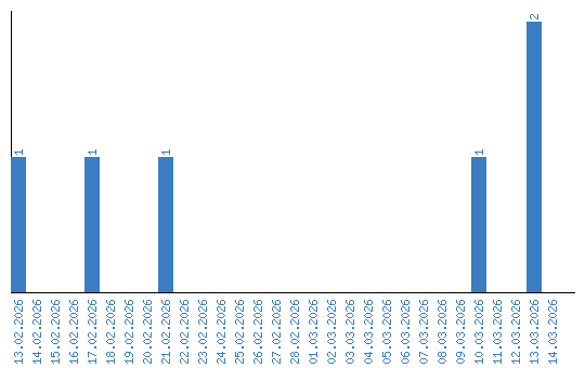
Динамика просмотров по датам