ФотабусАўтобусны транспарт

Iнфармацыя аб малюнку

450 КБ


Ідэнтыфікатар малюнка:2825791
Памер файла:450 КБ
Аўтар:43RUS
Апублікавана:07.03.2022 21:24 MSK
Знаходзіцца на сайце, дзён:1382
Унікальных праглядаў:167
Каментарыяў:0

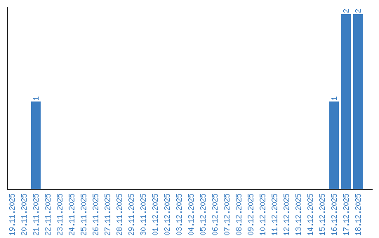
Дынаміка праглядаў па датах