FotobusΜεταφορά με λεωφορείο

Picture Statistics

601 KB


Picture ID:2757416
File Size:601 KB
Συγγραφέας:Клауд
Publication Date:08.11.2021 20:40 MSK
Days in Database:1473
Unique views:324
Comments:0

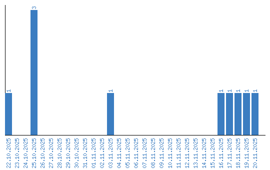
Viewing statistics by date