FotobusAutobusų transportas

Nuotraukos informacija

184 KB


Nuotraukos identifikatorius:275492
Bylos dydis:184 KB
Autorius:Александр Разумов
Publikuota:01.06.2010 22:59 MSK
Yra tinklapyje dienų:5644
Unikalių peržiūrų:177
Komentarų:0

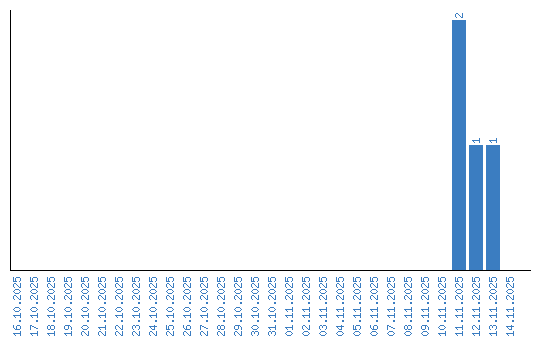
Peržiūrų dinamika pagal dienas