FotobusBus Transport

Picture Statistics

547 KB


Picture ID:2753965
File Size:547 KB
Author:43RUS
Publication Date:04.11.2021 21:40 MSK
Days in Database:1465
Unique views:258
Comments:0

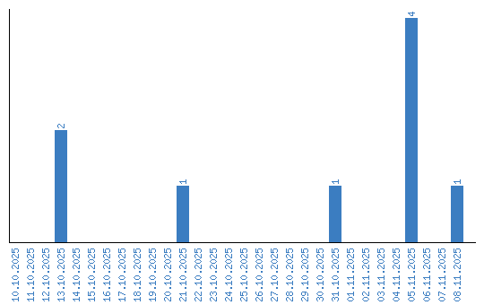
Viewing statistics by date