FotobusBusverkehr

Bildinformationen

654 KB


Foto-ID:2740321
Dateigröße:654 KB
Aufgenommen von:monochrome
Veröffentlicht am:14.10.2021 10:53 MSK
Tage seit Veröffentlichung:1491
Aufrufe:376
Kommentare:0

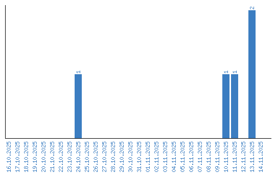
Aufrufestatistik (Tage)