ФотобусАвтобусный транспорт

Информация об изображении

492 КБ


Идентификатор изображения:2561026
Размер файла:492 КБ
Автор:АндрейС
Опубликовано:18.01.2021 10:26 MSK
Находится на сайте, дней:1864
Уникальных просмотров:320
Комментариев:0

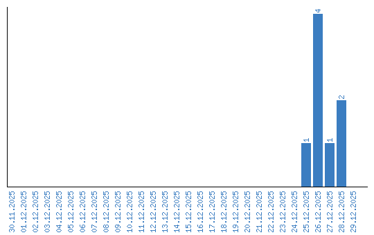
Динамика просмотров по датам