FotobusΜεταφορά με λεωφορείο

Picture Statistics

432 KB


Picture ID:2537278
File Size:432 KB
Συγγραφέας:Саня Юрчук
Publication Date:30.11.2020 19:23 MSK
Days in Database:1839
Unique views:284
Comments:0

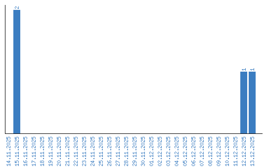
Viewing statistics by date